在日常中工業廢水中的高濃度可溶性銻和總銻可以使用火焰原子吸收分光光度法進行檢測,一般這兩種參數的檢測出限為0.18mg/l,測定下限為0.72mg/l。采集后的水樣過濾或消解后噴入貧燃性空氣-乙炔火焰,在高溫火焰中形成的銻基態原子對銻空心陰極燈發射的217.6nm特征譜線產生選擇性吸收,其吸光度值與銻的質量濃度成正比。
	 
 
1.濃鹽酸:1.19g/ml,優級純。
2.濃鹽酸:1.19g/ml。
3.鹽酸溶液:1+1,用濃鹽酸配制。
4.鹽酸溶液:1+1,用濃鹽酸配制。
5.鹽酸溶液:1+99,用濃鹽酸配制。
6.濃硝酸:1.42g/mL,優級純。
7.硝酸溶液:1+1,用濃硝酸配制。
8.酒石酸。
9.金屬銻:光譜純。
10.銻標準貯備液
正確稱取0.1000g金屬銻,置于燒杯中,加入10ml濃鹽酸和0.2ml濃硝酸,加熱溶解;當揮發到1/3時,再加10ml濃鹽酸和0.2ml濃硝酸,繼續加熱至完全溶解。補加濃鹽酸至約10ml。用水定量轉移至100ml容量瓶中,加入1.5g酒石酸,加水至刻度。
11.銻標準使用液
準確移取10.00ml銻標準貯備液置100ml容量瓶中,加鹽酸溶液至標線,搖勻。也可購買具有國家標準物質編號的商品化銻標準溶液。
12.燃氣:乙炔,純度≥99.6%。
13.助燃氣:空氣(除去水、油和其他雜質),一般由空氣壓縮機提供。
實驗所用的玻璃器皿、聚乙烯容器等需先用洗滌劑洗凈,再用鹽酸溶液浸泡24h以上,使用前再依次用自來水和實驗用水洗凈。
1.原子吸收分光光度計及相應的輔助設備,配有背景校正器。
2.銻空心陰極燈或銻無極放電燈。
3.微波消解儀:一般功率600-1500W;感應溫度達到±2.5℃,在感應后2秒鐘之內自動調節微波輸出功率;耐酸惰性塑膠材質(如PFA)消解罐。
4.抽濾裝置,帶有孔徑為0.45um的醋酸纖維或聚乙烯濾膜。
5.樣品瓶,500ml,材質為聚乙烯。
6.一般常用實驗室儀器和設備。
水樣采集后應盡快用抽濾裝置過濾,棄去初始的濾液。收集所需體積的濾液于樣品瓶中。每100ml濾液中加入1ml濃鹽酸,于4℃下冷藏保存,14d內測定。
量取45mL混勻后的水樣于100ml微波消解罐中,加入4ml濃硝酸、1ml濃鹽酸,等待可觀察到的反應停止后加蓋密閉,放入微波消解儀中,按照選定的升溫程序進行消解。升溫程序設定在使每個樣品約10分鐘內加熱到達170±5℃,并在該溫度下維持加熱10分鐘。消解完畢后,冷卻至室溫。將消解液移至50ml容量瓶中,用水定容至刻度,搖勻,待測。
依據儀器操作說明書調節儀器至最佳工作狀態,參考測量條件見相關參數表。
	 
 
分別量取0、1.00、2.00、4.00、6.00、8.00、10.0ml銻標準使用液于7個25ml容量瓶中,加入鹽酸溶液至標線,搖勻,標準系列質量濃度分別為0.0、4.00、8.00、16.0、24.0、32.0、40.0 mg/L。按照參考測量條件,由低質量濃度到高質量濃度依次測定標準系列的吸光度,以零濃度校正吸光度為縱坐標,以銻的含量(mg/L)為橫坐標,繪制校準曲線。
水樣檢測步驟按照與繪制校準曲線相同條件測定試樣的吸光度。
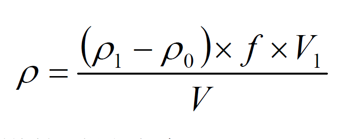
銻的質量濃度可以按照相應公式計算得出。
	  
 
水樣中存在低于20%(體積分數)鹽酸或硝酸、2%(體積分數)硫酸對銻測定也無影響。在波長217.6nm測量銻,銅、鐵、鎘、鎳、鉛的質量濃度分別小于3500mg/L、4000mg/L、1000mg/L、4000mg/L、6000mg/L沒有干擾。當這些物質的質量濃度超過上述質量濃度時,可采用標準加入法消除其干擾。
上一篇:檢測水中亞硝胺類化合物的具體步驟
下一篇:飲用水水質急性毒性的檢測方法